Aydınlatma Hesapları

Aydınlatma Hesapları

Noktasal Aydınlatma Hesabı

Noktasal yatay aydınlık düzeyi hesabı: doğrultusundaki bir ışının ışık kaynağından r uzaklığındaki bir M noktasında oluşturduğu yatay aydınlık düzeyi (Ey), denklemi ile hesaplanır. Burada,

I : doğrultusundaki ışık şiddeti (cd)

cos : M noktasına gelen ışın ile yüzeyin normali arasındaki açı

r : Işık kaynağı ile M noktası arasındaki uzaklık(m) dır.

Noktasal Düşey Aydınlık Düzeyi Hesabı

Noktasal düşey aydınlık düzeyi hesabı: y doğrultusundaki bir ışının bir M noktasında oluşturduğu düşey aydınlık düzeyi (Ed), denklemi ile hesaplanır. Burada:

Bd: M noktasına gelen ışının düşey düzlemi ile yüzeyin normali arasındaki açıdır.

TS EN 12464'e Göre Aydınlatma Kalite Kriterler

İç mekanların aydınlatılmasında sağlanması gereken aydınlatma kalite kriterleri TS EN 12464' de belirtilmektedir. Örnek olarak ofis hacimlerinde sağlanması gereken aydınlatma kalite kriterleri aşağıdaki tabloda gösterilmiştir. Burada Eo ortalama aydınlık düzeyi, UGRL kamaşma sınırlama katsayısı, Ra renksel geriverim endeksidir.

Aynı standartta yukarıda belirtilen kalite kriterlerinin yanı sıra, hacim içerisinde çalışma alanı ve çevresindeki aydınlatma değerlerine bağlı olarak ortalama düzgünlük değerlerinin de sağlanması istenmektedir. Bu değerler aşağıdaki tabloda gösterilmektedir.

İç Aydınlatmada Ortalama Aydınlık Düzeyi

İç aydınlatma mekanlarında genel aydınlatma hesabı kullanım faktörü yöntemi ile yapılır. Bu yönteme "ışık akısı ya da verim yöntemi" de denir. Öncelikle aydınlatma hesabı yapılacak olan mekan için standartlarda (TS EN 12464) önerilen ortalama aydınlık düzeyi (Eo) değeri ilgili tablodan belirlenir. Daha sonra mekanın geometrik boyutlarına bağlı olarak k oda endeksi hesaplanır.

k: oda endeksi

a: odanın eni (m)

b: odanın uzunluğu (m)

H: odanın yüksekliği (m)

h: armatürün çalışma düzleminden yüksekliği (m)

hçd: çalışma düzleminin döşemeden yüksekliği (m)

la: askı boyu (m)

h= H - hçd - la

Mekanın tavan, duvar ve çalışma düzleminin yüzey renklerine bağlı olarak yansıtma faktörü değerleri belirlenir.

Tavanın Ortalama Yansıtma Faktörü (pt) Duvarın Ortalama Yansıtma Faktörü (pb) Çalışma Düzleminin Ortalama Yansıtma Faktörü (pçd)
%80 Çok Beyaz %70 Açık Renkli %20 Koyu Renkli
%70 Açık Beyaz %50 Koyu Renkli    
%50 Kirli Beyaz %30 Çok Koyu Renkli    

Aydınlatma tesisatında kullanılacak armatüre ait verim tablosundan oda endeksi ile tavanın, duvarın ve çalışma düzleminin yansıtma faktörüne bağlı olarak kullanma faktörü ( ) değeri okunur. Mekan içerisinde istenen Eo ortalama aydınlık düzeyinin sağlanması için, kullanılacak lambaların vermesi gereken toplam ışık akısı hesaplanır.

m: bakım faktörü

Eo: ortalama aydınlık düzeyi (lux)

Φo: hacimde kullanılan lambaların toplam ışık akısı (lm)

Φ1: hacimde kullanılan armatürdeki lamba/lambaların ışık akısı (lm)

Daha sonra mekanın aydınlatılması için gereken toplam armatür sayısı belirlenir.

N: armatür sayısı

Son olarak da hacim içerisinde N adet armatür kullanıldığında gerekli ortalama aydınlık düzeyinin sağlanıp sağlanmadığı hesap yoluyla kontrol edilir.

Armatür Sayısının Hesaplanması

6 m genişliğinde, 10 m uzunluğunda, 2.75 m yüksekliğinde, yansıtma çarpanları tavan, duvar ve zemin için sırasıyla 0.7, 0.5 ve 0.2 olan örnek ofis hacmi için 4x18W gücünde 60 cm x 60 cm boyutlarında çift parabolik lamelli sıva altı ofis armatürlerinin kullanılması durumunda 0.85 m yüksekliğindeki çalışma düzleminde 500 lx ortalama aydınlık düzeyi elde edebilmek için gerekli armatür sayısının belirlenmesi aşağıda detaylı olarak verilmiştir (bakım faktörü m=0.8 olarak alınmıştır).

Pelsan 4x18W tüp flüoresan lambalı armatüre ait kullanım faktörü tablosu

Oda Endeksis Yüzey Yansıtma Çarpanları (Tavan 1 Duvar 1 Zemin) (%)
  80 80 80 70 70 70 s0 s0 s0
  70 s0 30 70 s0 30 70 s0 30
  20 20 20 20 20 20 20 20 20
0,6 0,43 0,36 0,33 0,42 0,36 0,32 0,41 0,35 0,32
0,8 0,49 0,43 0,39 0,48 0,42 0,39 0,46 0,42 0,38
1 0,53 0,48 0,44 0,52 0,47 0,44 0,5 0,46 0,43
1,25 0,57 0,52 0,49 0,56 0,51 0,48 0,54 0,5 0,47
1,5 0,59 0,55 0,52 0,58 0,54 0,51 0,56 0,53 0,5
2 0,62 0,59 0,56 0,61 0,58 0,55 0,59 0,56 0,54
2,5 0,64 0,6 0,58 0,62 0,59 0,57 0,6 0,57 0,56
3 0,65 0,62 0,6 0,63 0,61 0,59 0,61 0,59 0,57
4 0,66 0,64 0,62 0,65 0,63 0,61 0,62 0,61 0,59
5 0,67 0,65 0,64 0,66 0,64 0,63 0,63 0,62 0,6

Aydınlatma Hesap Çizelgesi Yardımı ile Armatür Sayısının Belirlenmesi

Aydınlatma hesap çizelgesi ilgili armatürün kullanılacağı hacmin büyüklüğüne ve sağlanması istenilen aydınlık düzeylerine göre toplam armatür sayıları hakkında bilgi vermektedir. Bu çizelgeler yardımı ile sağlanması istenilen aydınlık düzeyi için gerekli armatür sayısı kolayca belirlenebilmektedir. Çizelgeler oluşturulurken, genel kullanım düşünülerek oda yüksekliği 2.75 m olarak kabul edilmiştir. Oda geometrilerinin de dikdörtgen olduğu kabulü ile çizelgeler, toplam alanı 20 ile 200 m2 arasında değişen değerler için klasik bir ofis hacminde sıklıkla karşılaşılan yansıtma çarpanlarının tavan, duvar ve zemin için sırasıyla 0.7, 0.5 ve 0.2 olması durumu için oluşturulmuştur. Hesaplamalarda bakım faktörü 0.8 alınmıştır.

Aşağıdaki çizelge, 20 ile 200 m2 arasında değişen alanlar için klasik bir ofis hacminde Pelsan 4x18W gücünde 60 cm x 60 cm boyutlarında çift parabolik lamelli sıva altı ofis armatürü kullanılması durumunda 300 lx, 500 lx ve 750 lx ortalama aydınlık düzeyinin elde edilmesi amacıyla gerekli armatür sayılarının belirlenebilmesi için oluşturulmuştur. Çizelgeden de görüleceği gibi 60 m2'lik hacimde 500 lx ortalama aydınlık düzeyini elde etmek için 12 adet 4x18Wgücünde tüp flüoresan armatür kullanılması gerekmektedir.

4x18W Çift Parabolik Lamelli Sıvaaltı Tüp Flüoresan Armatüre ait örnek çizelge

Yol Aydınlatma Düzenekleri

Soldan tek taraflı düzenek

Refüjden çift konsollu düzenek

Sağdan tek taraflı düzenek

Refüjden çift konsollu karşılıklı düzenek

Karşılıklı düzenek

Refüjden çift konsollu kaydırılmış düzenek

Kaydırılmış düzenek

Enine askı düzeni

Refüjde boyuna askı düzeni

Yol Aydınlatması Hesapları

Yol aydınlatması hesapları genelde "noktasal aydınlatma hesabı yöntemi"ne göre gerçekleştirilmektedir.

Yol Sınıfları

Yol yüzeylerinin yansıtma özellikleri, ya q (β,γ) parıltı faktörü veya r (β,tgγ) indirgenmiş parıltı faktörü ile verilirler. Gerçekte parıltı faktörü veya indirgenmiş parıltı faktörü veya indirgenmiş parıltı faktörü göz önüne alınan noktanın gözlemciye ve ışık kaynağına olan doğrultularına bağlıdır. Yol aydınlatmasında kullanılan yol sınıfları, ortalama parıltı faktörleri ve S1, S2 aynasal faktörleri aşağıdaki tabloda verilmektedir.

Yol Sınıfı qo s1 s2
R1 0,10 0,25 1,53
R2 0,07 0,58 1,80
R3 0,07 1,11 2,38
R4 0,08 1,55 3,03
N1 0,10 0,18 1,30
N2 0,07 0,41 1,48
N3 0,07 0,88 1,98
N4 0,08 1,61 2,84
CI 0,10 0,24 -
CII 0,07 0,97 -

Tablo: Yol yüzeylerinin kullanılan malzemeye göre sınıflandırılması

Yol Sınıfı Malzeme Yapısı
R1 N1 Beton yol yüzeyleri, yapay parlaklığı %15 olan asfalt yol yüzeyleri, %80'i çok parlak taç parçacıklarından oluşan yol yüzeyleri.
R2 N2 Kaba yapılı ve normal ince çakıllı yol yüzeyleri, yapay parlak %10-15 olan asfalt yüzeyler, çakıl bakımından zengin (%60) ve çakıl boyutunun %10 mm'den fazla olduğu pürüzlü ve kaba asfalt yüzeyler.
R3 N3 Koyu renkli çapı 10mm ve daha küçük boyutta çakıl içeren kaba yapılı asfalt yüzeyler kaba fakat parlak yol yüzeyleri
R4 N4 Mastik asfalt, parlak ve oldukça düzgün yapılı yol yüzeyleri.

Türkiye şehir içi yolları ve aydınlatma sınıfları

Yol Tanımı Aydınlatma Sınıfı
Şehir bağlantı ve çevre yolları (tek beya iki yönlü, kavşaklar ve bağlantı noktaları ile şehir geçişleri dahil)
-Hız ≥ 90 km/h
-Hız < 90 km/h
M1
M2
Şehiriçi ana güzergahlar (bulvarlar ve caddeler ring yolları; dağıtıcı yollar)
-≥50 km/h Hız
-≤50 km/h Hız
-Hız < 50 km/h
M1
M2
M3
Şehir yolları (yerleşim alanlarına giriş-çıkışın yapıldığı ana yollar ve bağlantı yolları)
-Hız ≥ 50 km/h; ≥3km'den kısa aralıklarla kavşak, yonca ayrımı var;
-Hız ≥ 50 km/h; ≥3km'den kısa aralıklarla kavşak, yonca ayrımı yok;
-Hız < 50 km/h
-Hız diğer
M3
M4
M4
M5
Yerleşim (ikametgah) bölgelerindeki yollar
-≥30 Hız
-≤30 Hız
-Hız < 30
-Hız diğer
M4
M5
M5
M6

Farklı aydınlatma sınıfları için sağlanması gereken aydınlatma kalite büyüklükleri

Aydınlatma Sınıfı Lort(cd/m2) Uo UI TI (%) SR
M1 3 2.0 3 0.4 3 0.7 10 3 0.5
M2 3 1.5 3 0.4 3 0.7 10 3 0.5
M3 3 1.0 3 0.4 3 0.5 15 3 0.5
M4 3 0.75 3 0.4 3 0.5 15 3 0.5
M5 3 0.50 3 0.35 3 0.4 15 3 0.5
M6 3 0.50 3 0.35 3 0.4 15 -

Lo: Yolun ortalama parıltısı (cd/m)

Uo: Ortalama düzgünlük (Uo=Lmin/Lort)

Ul: Boyuna düzgünlük (Ul=Lmin/Lmaks)

TI: Bağıl eğik artığı (TI={ΔLK-ΔLe}/ΔLe)

SR: Çevreleme oranı

Yol Yüzeyinde Aydınlatma Hesabı Yapılacak Noktaların Belirlenmesi

Öncelikle hesap alanının belirlenmesi gerekir. Yol aydınlatma hesaplarında hesap alanı iki direk arasında kalan bölümdür.Hesap alanındaki ilk armatürden 60 m geride ve her şeridin ortasında olacak şekilde gözlemci konumları belirlenir.

s: direkler arası mesafe (m)

wş: şerit genişliği (m)

N:boyuna doğrultudaki hesap noktaları sayısı

direkler arası mesafe; s ≤ 30 m ise N = 10

direkler arası mesafe; s> 30 m ise D ≤ 3 m olacak şekilde N belirlenir.

Yol Yüzeyindeki Bir Noktanın Aydınlık Düzeyinin Hesaplanması

Bir noktanın yatay aydınlık düzeyi, katkıda bulunan bütün armatürlerin bu noktada oluşturdukları aydınlık düzeylerinin toplamına eşittir. şekilde aydınlık düzeyi hesaplanacak yol yüzeyi üzerindeki P noktası gösterilmektedir.

I(C,γ): i. nci armatürden P noktasına ulaşan ışık şiddeti değeri (cd)

γ: P noktasına gelen ışının düşeyle yaptığı açı

a: P noktasına katkıda bulunan armatür sayısı

h: Armatür fotometrik merkezinin yerden yüksekliği (m)

C: Düzlem açısıdır.

Eş Aydınlık Düzey Diyagramları

Bir düzlem üzerinde eş aydınlık düzeylerine sahip noktaların çizgiler halinde birleştirilmesiyle eş aydınlık düzeyi diyagramları elde edilir. Bu diyagramlarda armatürün ışık yayan optik bölümünün yüksekliği (yaklaşık olarak armatürün montaj yüksekliği) esas olarak kabul edilir. Bütün diyagramlarda bu değer standart olması açısından 10 metre olarak alınmıştır. Diyagram bir kartezyen ızgara (grid) sistemi üzerine kurulmuştur. (0,0) noktası armatürün ışık yayan yüzeyinin merkezi olarak belirlenmiştir. (0,0) noktasındaki, bir başka deyişle armatürün tam altındaki aydınlık düzeyi (Enadir) diyagramın başlığında verilmiştir. (0,0) noktasının üst bölgesi kaldırım tarafı, alt bölgesi ise yol tarafı olarak etiketlenmiştir. X ve Y eksenlerindeki pozitif ve negatif sayılar (-7,-6,-5...0,1,2,3..) ise armatür montaj yüksekliği cinsinden belirli noktalardaki aydınlık düzeylerini belirlemeye yarar. Örneğin yol tarafı (1,1) noktası, armatüre göre 10 metre sağ ve 10 metre aşağıdaki noktayı belirtir. Bu noktadaki aydınlık düzeyini bulmak için o noktaya en yakın eş aydınlık düzeyi eğrisi kullanılır. Eş aydınlık düzeyi eğrilerinin değerleri diyagramın altında verilmiştir. Farklı yükseklikteki armatürler için diyagramın sağında bulunan çevrim tablosu kullanılır. Örneğin 5 metre yükseklikteki bir armatür için bulunan aydınlık düzeyi 4 ile çarpılır.

Koni Diyagramları

Konik diyagramlar, armatürden belli mesafelerde sağlanan maksimum ve ortalama aydınlık düzeylerini gösterir. Konik diyagramda bulunan daireler, armatürden çıkan ışık hüzmesinin söz konusu mesafede yarattığı aydınlatmanın çapını; bu dairelerin yanında bulunan sayısal değerler, daire içinde sağlanan maksimum ve ortalama aydınlık düzeylerini ifade ederler.

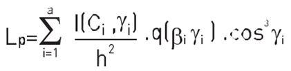
Yol Yüzeyindeki Bir Noktanın Parıltısının Hesaplanması

l yüzeyindeki bir P noktasının parıltısı, tüm armatürlerin bu noktada oluşturdukları parıltıların toplamına eşittir. Bir P noktasının parıltısı,

denklemi ile hesaplanır. Parıltı faktörü q, belirli bir gözlem doğrultusu ve belirli yöndeki ışık doğrultusu için hesaplanmış parıltı değerinin, yatay aydınlık düzeyine oranıdır. Kullanılan büyüklüklere ait gösterim şekilde verilmektedir. Burada;

I(Ci,γi): i. kaynaktan P noktasına gelen ışık şiddeti değeri (cd)

γi: i.kaynaktan P noktasına gelen ışın ile yüzeyin normali arasındaki açı

h: Armatür fotometrik merkezinin yerden yüksekliği (m)

q(βi,γi) : Parıltı faktörü (cd/m /lx)

αq: Gözlem açısı. Yol yüzeyinden yansıyıp göze gelen ışık ile yatay düzlem arasındaki düşey açı

β: Işığın geliş doğrultusunun düşey düzlemi ile gözlem doğrultusu arasındaki açı

C: Düzlem açısı

Endüstriyel Alan Aydınlatması

*Endüstriyel alan aydınlatmasında, kendine özgü görevi olan araçlar özel aydınlatmaya ihtiyaç duyar.

*Bu tarz aydınlatmalar öncelikle fiziksel güvenlik sağlamalıdır.

*Cisimlerin hareketlerinin yanlış algılanmalarına neden olan stroboskopik etki ortadan kaldırılmalıdır.

*Çok fazla aydınlık seviyeisnden kaçınmak gerekir.

*Endüstriyel alan aydınlatmasınsa, bu alanlarda çalışan insanların rahatı düşünülmelidir.

*Aşırı yansıma ve gölgelerin oluşmamasına özen gösterilmelidir.

*Bu tarz alanlar devamlı faaliyet içerisinde olduklarından, aydınlatmada enerji tasarrufuna dikkat edilmelidir.

*Endüstriyel tesisler genellikle yüksek tavanlı mekanlar olduğundan uzun çalışma ömrüne sahip ışık kaynakları tercih edilmelidir.

*Bu mekanlarda kullanılan armatürlerde lambaların değişimi kolay olmalıdır.

*Benzinlik gibi parlayıcı patlayıcı madde bulunduran yerlerde exproof armatürler kullanılmalıdır.

Armatür: 2X54W TL5 Karpat Yüksek Tavan - 89W Karpat LED Yüksek Tavan Mekan: Endüstriyel Alanlar

Aydınlatma Hesap Çizelgesi Yardımı ile Armatür Sayısının Belirlenmesi Aydınlatma hesap çizelgesi ilgili armatürün kullanılacağı hacmin büyüklüğüne ve sağlanması istenilen aydınlık düzeylerine göre toplam armatür sayıları hakkında bilgi vermektedir. Bu çizelgeler yardımı ile sağlanması istenilen aydınlık düzeyi için gerekli armatür sayısı kolayca belirlenebilmektedir. Çizelgeler oluşturulurken, genel kullanım düşünülerek tavan yüksekliği 8 m olarak kabul edilmiştir. Oda geometrilerinin de dikdörtgen olduğu kabulü ile çizelgeler, toplam alanı 80 ile 260 m2 arasında değişen değerler için klasik bir ofis hacminde sıklıkla karşılaşılan yansıtma çarpanlarının tavan, duvar ve zemin için sırasıyla 0.3, 0.3 ve 0.1 olması durumu için oluşturulmuştur. Hesaplamalarda bakım faktörü 0.8 alınmıştır. Aşağıdaki çizelge, 80 ile 260 m2 arasında değişen alanlar için klasik bir endüstriyel alan hacminde Pelsan 89W Karpat LED ve 2x54W Karpat TL5 yüksek tavan armatürü kullanılması durumunda 200 lx, 300 lx ve 500 lx ortalama aydınlık düzeyinin elde edilmesi amacıyla gerekli armatür sayılarının belirlenebilmesi için oluşturulmuştur. Çizelgeden de görüleceği gibi 240 m2'lik hacimde 300 lx ortalama aydınlık düzeyini elde etmek için 18 adet 89W Karpat LED ve ya 19 adet 2x54W Karpat yüksek tavan armatürü kullanılması gerekmektedir.

Aydınlatma Kontrolü Yapmak

Aydınlatmanın gerekli olduğu zamanlarda yeteri kadar yapılmasını sağlayan sistemler kullanılarak enerji tasarrtufu elde edilebilr. Bu sistemler sensörlerinden aldığı sinyaller doğrultusunda insanların olmadığı zamanlarda lambaları kapama ve ortama giren günışığı miktarı artınca lambaları kapama veya dimmerleme işlemini otomatik olarak gerçekleştirirler. Aydınlatmaya gerek duyulmayan zaman sürelerinde kapam ve gereğinden fazla aydınlatma yapmamak üzere dimleme yapan bu sistemlerle %40'e varan enerji tasarrufu sağlanabilir.

Uygun Aydınlatma Tasarımı Yapmak

Enerji tasarrufunu esas alan bir tasarımda öncelikle ilgili alandaki yüzeyler (Duvar, Tavan, Zemin) yansıtma faktörü yüksek renklerle boyanmalı veya kaplanmalıdır. Gerekli aydınlatma ilgili her bir düzey için ele alınmalıdır. Örneğin bir ofis aydınlatmasında çalışma düzlemi için 1000 lüx'lük aydın seviyesi gerekiyor ise tüm ofis 1000 lüx seviyesinde aydınlatılmamalıdır. Alternatif Aydınlatma Çözümleri * Gündüzleri dış ortamdan yeteri kadar ışık almayan iç mekanları fiber optik kablolar veya yansıtıcı borularlar taşımak surtiyle aydınlatmak. * Güneş enerjisinden elektrik enerjisi elde eden ve elde ettiği elektrik enerjisini depolayan , depoladığı enerjiyi de güneş ışınımının olmadığı zamanlarda aydınlatma işlevini yerine getiren güneş enerjisi sistemlerininkullanılması. * Enerji tasarrufunda amaç enerji girdisini azaltmak olduğundan bu enerjinin yenilebilir kaynaklarından sağlanmasıyla bu amaç gerçekleştirilebilir. Evlerin çatılarına yerleştirilecek küçük boyutlu rüzgar güneş hibrit enerji sistemleriyle acil aydınlatma için gerekli olan ihtiyaç karşılanabilir.

* Yüksek Verimli Işık Kaynakları Kullanmak

Aydınlatma için gerekli olan ışığı etkinlik faktörü yüksek olan ışık kaynaklarından sağlamak aydınlatmada enerji tasarrufunun ilk şartıdır. Etkinlik faktörü yüksek olan ışık kaynakları birim güç başına daha fazla ışık akısı verir. Dolayısıyla, etkinlik faktörü olan kaynaklar kullanılarak yapılan aydınlatmada aynı aydınlık düzeyi için daha az ışık akısı verir. Dolayısıyla , etkinlik faktörü yüksek olan kaynaklar kullanılarak yapılan aydınlatmada aynı aydınlık düzeyi için daha az ışık kaynağına ihtiyaç duyulur ve daha az enerji harcanır. Örneğin yüksek basınçlı civa buharlı lambalarla yapılmış olan fabrika iç aydınlatmalarını floresan lambalarda yapmak %43 "e varan değerlerde tasarruf sağlayabilir. Işık kaynaklarına ait etkinlik faktörleri lambalara ait karşılaştırmalı tablodan alınabilir.

* Yüksek Verimli Armatürler Kullanmak

Armatürler içlerindeki ışık kaynakların yaydığı tüm ışınları etkin bir biçimde kullanıldığı alana dağıtamaz. Işınların bir kısmı yansıtıcı yüzeyler tarafından soğurulur veya bu yüzeyler doğru konumlandırılmadıklarından dolayı amaçlanan alana yansıtılamaz. Bu durumu ortadan kaldırmak için kaliteli ve uygun tasalamış bir yansıtıcıya sahip yüksek verimli armatürler kullanılmalıdır.

* Daha Az Kayıplı Bileşenler Kullanmak

Günümüzde verimli iç ve dış aydınlatmanın temel elemanlarından olan deşarj lambaları genel olarakbalast, starter, ateşleyici vb. yardımcı bileşenlere ihtiyaç duyar. Bu elemanlardan özellikle sürekli devrede olan balast gibi yardımcı bileşenlerin aktif güç kaybı sistemin verimliliğini öenmli ölçüde etkiler. Örneğin, daha az aktif güç kaybına sahip balastlar ( Düşük kayıplı manyetik veya elektronik balastlar) veya klasik tesisat yeirne busbar kanallar kullanılarak sistem verimliği artırılabilir.

Aydınlatmada Enerji Tasarrufu

Görsel performans ve konfordan ödün vermeksizin aydınlatma verimliğini artırarak enerji girdisinin azaltılmasıyla enerji tassarufu yapılmasıdır. Bu tasarruf yanlış bilindiği üzere yetersiz aydınltama yapılarak sağlanmaz. Çünkü yetersiz aydınlatma, her ne kadar enerji tüketimini düşürse de ilgili alanda çalışanların verimlerine negatif etkidiği için nihayetinde bir tassaruf sağlamaz. Ayrıca iş kazalarının artmasına neden olduğundan beklenenin tam aksine bir sonuç doğurabilir. Bu tasarruf aşağıdaki aydınlatma bileşenlerinin iyileştirilmesi ile mümkün olabilir.

* Yüksek verimli ışık kaynakları kullanmak

* Yüksek verimli armatürler kullanmak

* Daha az kayıplı bileşenler (Örneğin: daha düşük kayıplı balast) kulanmak

* Aydınlatma kontrolü yapmak.

* Uygun Aydınlatma tasarımı yapmak.

* Alternatif aydınlatma bileşenleri kullanmak

Döküman İndir
E-BÜLTEN

Son haberler ve yeni ürünlerimizle ilgili bilgi almak için kayıt olabilirsiniz!